1. RUBRIC KIỂM TRA, ĐÁNH GIÁ KẾT THÚC HỌC PHẦN
* Hình thức: trắc nghiệm
* Kiểm tra, đánh giá CĐRHP (CLO): 2.1, 3.1, 3.2, 4.1, 4.2, 4.3
* Công cụ đánh giá: đề thi, rubric
Đề gồm 40 câu
|
Động năng của một hạt chuyển động dọc theo vòng tròn có bán kính R là K = β«math xmlns=¨http://www.w3.org/1998/Math/MathML¨»«msup»«mrow»«mi»x«/mi»«/mrow»«mrow»«mn»2«/mn»«/mrow»«/msup»«/math», trong đó x là quãng đường tương ứng mà nó đi được. Lực tác dụng lên hạt đó có độ lớn bằng: |
MC |
||
|---|---|---|---|
|
Default mark: |
1 |
||
|
Shuffle the choices? |
Yes |
||
|
Number the choices? |
|||
|
Penalty for each incorrect try: |
33.3 |
||
|
# |
Answers |
Feedback |
Grade |
|
|
2«math xmlns=¨http://www.w3.org/1998/Math/MathML¨»«mi»§#946;«/mi»«/math»x(«math xmlns=¨http://www.w3.org/1998/Math/MathML¨»«msup»«mrow»«mi»R«/mi»«/mrow»«mrow»«mn»2«/mn»«/mrow»«/msup»«mo»-«/mo»«msup»«mrow»«mi»x«/mi»«/mrow»«mrow»«mn»2«/mn»«/mrow»«/msup»«/math») |
|
0 |
|
|
2«math xmlns=¨http://www.w3.org/1998/Math/MathML¨»«mi»§#946;«/mi»«/math»x«math xmlns=¨http://www.w3.org/1998/Math/MathML¨»«msqrt»«mn»1«/mn»«mo»+«/mo»«mfrac»«mrow»«msup»«mrow»«mi»x«/mi»«/mrow»«mrow»«mn»2«/mn»«/mrow»«/msup»«/mrow»«mrow»«msup»«mrow»«mi»R«/mi»«/mrow»«mrow»«mn»2«/mn»«/mrow»«/msup»«/mrow»«/mfrac»«/msqrt»«/math» |
|
100 |
|
|
2«math xmlns=¨http://www.w3.org/1998/Math/MathML¨»«mi»§#946;«/mi»«msup»«mrow»«mi»x«/mi»«/mrow»«mrow»«mn»2«/mn»«/mrow»«/msup»«/math»R |
|
0 |
|
|
2«math xmlns=¨http://www.w3.org/1998/Math/MathML¨»«mi»§#946;«/mi»«/math»x«math xmlns=¨http://www.w3.org/1998/Math/MathML¨»«msup»«mrow»«mi»R«/mi»«/mrow»«mrow»«mn»2«/mn»«/mrow»«/msup»«/math» |
|
0 |
|
|
General feedback: |
|
|
|
|
For any correct response: |
|
|
|
|
For any incorrect response: |
|
|
|
|
Hint 1: |
|
|
|
|
Show the number of correct responses (Hint 1): |
No |
|
|
|
Clear incorrect responses (Hint 1): |
No |
|
|
|
Tags: |
|
|
|
Allows the selection of a single or multiple responses from a pre-defined list. (MC/MA) |
|
||
|
Anhxtanh - nhà vật lý học vĩ ñại nhất của thế kỷ 20 – sinh năm |
MC |
||
|---|---|---|---|
|
Default mark: |
1 |
||
|
Shuffle the choices? |
Yes |
||
|
Number the choices? |
|||
|
Penalty for each incorrect try: |
33.3 |
||
|
# |
Answers |
Feedback |
Grade |
|
|
1875 |
|
0 |
|
|
1877 |
|
0 |
|
|
1879 |
|
100 |
|
|
1881 |
|
0 |
|
|
General feedback: |
|
|
|
|
For any correct response: |
|
|
|
|
For any incorrect response: |
|
|
|
|
Hint 1: |
|
|
|
|
Show the number of correct responses (Hint 1): |
No |
|
|
|
Clear incorrect responses (Hint 1): |
No |
|
|
|
Tags: |
|
|
|
Allows the selection of a single or multiple responses from a pre-defined list. (MC/MA) |
|
||
|
Người quan sát trong hệ quy chiếu O phát hiện hai sự kiện riêng rẽ xảy ra trên trục x ở ñiểm x1 tại thời ñiểm t1 và ñiểm x2 tại thời điểm t2 với x2 - x1 = 600m và t1 - t2 = 8.«math xmlns=¨http://www.w3.org/1998/Math/MathML¨»«msup»«mrow»«mn»10«/mn»«/mrow»«mrow»«mo»-«/mo»«mn»7«/mn»«/mrow»«/msup»«/math»s. Tìm vận tốc v của hệ quy chiếu O’ chuyển động dọc theo trục x của hệ O sao cho người quan sát đứng yên trong hệ O’ thấy hai sự kiện đó xảy ra ñồng thời. |
MC |
||
|---|---|---|---|
|
Default mark: |
1 |
||
|
Shuffle the choices? |
Yes |
||
|
Number the choices? |
|||
|
Penalty for each incorrect try: |
33.3 |
||
|
# |
Answers |
Feedback |
Grade |
|
|
-0,6c |
|
0 |
|
|
0,4c |
|
0 |
|
|
-0,4c |
|
100 |
|
|
0,8c |
|
0 |
|
|
General feedback: |
|
|
|
|
For any correct response: |
|
|
|
|
For any incorrect response: |
|
|
|
|
Hint 1: |
|
|
|
|
Show the number of correct responses (Hint 1): |
No |
|
|
|
Clear incorrect responses (Hint 1): |
No |
|
|
|
Tags: |
|
|
|
Allows the selection of a single or multiple responses from a pre-defined list. (MC/MA) |
|
||
|
Một khối khí hiđrô ở nhiệt độ 3270C . Để vận tốc căn quân phương của các phân tử của nó giảm chỉ còn một nửa giá trị ban đầu, phải làm lạnh nó ở áp suất không đổi đến nhiệt độ |
MC |
||
|---|---|---|---|
|
Default mark: |
1 |
||
|
Shuffle the choices? |
Yes |
||
|
Number the choices? |
|||
|
Penalty for each incorrect try: |
33.3 |
||
|
# |
Answers |
Feedback |
Grade |
|
|
1230C |
|
0 |
|
|
-1230C |
|
100 |
|
|
-1000C |
|
0 |
|
|
0 |
|
0 |
|
|
General feedback: |
|
|
|
|
For any correct response: |
|
|
|
|
For any incorrect response: |
|
|
|
|
Hint 1: |
|
|
|
|
Show the number of correct responses (Hint 1): |
No |
|
|
|
Clear incorrect responses (Hint 1): |
No |
|
|
|
Tags: |
|
|
|
Allows the selection of a single or multiple responses from a pre-defined list. (MC/MA) |
|
||
|
Nếu Trái đất co lại 2% dọc theo bán kính của nó nhưng vẫn giữ khối lượng không đổi thì gia tốc trọng trường trên mặt đất sẽ |
MC |
||
|---|---|---|---|
|
Default mark: |
1 |
||
|
Shuffle the choices? |
Yes |
||
|
Number the choices? |
|||
|
Penalty for each incorrect try: |
33.3 |
||
|
# |
Answers |
Feedback |
Grade |
|
|
giảm 2% |
|
0 |
|
|
tăng 2% |
|
0 |
|
|
giảm 4% |
|
0 |
|
|
tăng 4% |
|
100 |
|
|
General feedback: |
|
|
|
|
For any correct response: |
|
|
|
|
For any incorrect response: |
|
|
|
|
Hint 1: |
|
|
|
|
Show the number of correct responses (Hint 1): |
No |
|
|
|
Clear incorrect responses (Hint 1): |
No |
|
|
|
Tags: |
|
|
|
Allows the selection of a single or multiple responses from a pre-defined list. (MC/MA) |
|
||
|
|
MC |
||
|---|---|---|---|
|
Default mark: |
1 |
||
|
Shuffle the choices? |
Yes |
||
|
Number the choices? |
|||
|
Penalty for each incorrect try: |
33.3 |
||
|
# |
Answers |
Feedback |
Grade |
|
|
3a |
|
0 |
|
|
|
|
0 |
|
|
|
|
0 |
|
|
|
|
100 |
|
|
Linked in doesn't have any advertising. |
|
0 |
|
|
General feedback: |
|
|
|
|
For any correct response: |
|
|
|
|
For any incorrect response: |
|
|
|
|
Hint 1: |
|
|
|
|
Show the number of correct responses (Hint 1): |
No |
|
|
|
Clear incorrect responses (Hint 1): |
No |
|
|
|
Tags: |
|
|
|
Allows the selection of a single or multiple responses from a pre-defined list. (MC/MA) |
|
||
|
ðối với quá trình ñoạn nhiệt của khí lý tưởng, ñộ dốc của ñường biểu diễn quá trình ñó trên ñồ thị (p, V) là |
MC |
||
|---|---|---|---|
|
Default mark: |
1 |
||
|
Shuffle the choices? |
Yes |
||
|
Number the choices? |
|||
|
Penalty for each incorrect try: |
33.3 |
||
|
# |
Answers |
Feedback |
Grade |
|
|
|
|
100 |
|
|
|
|
0 |
|
|
|
|
0 |
|
|
0 |
|
0 |
|
|
General feedback: |
|
|
|
|
For any correct response: |
|
|
|
|
For any incorrect response: |
|
|
|
|
Hint 1: |
|
|
|
|
Show the number of correct responses (Hint 1): |
No |
|
|
|
Clear incorrect responses (Hint 1): |
No |
|
|
|
Tags: |
|
|
|
Allows the selection of a single or multiple responses from a pre-defined list. (MC/MA) |
|
||
|
Bước sóng biểu kiến của ánh sáng do ngôi sao đang chuyển động ra xa Trái đất phát ra tăng 0,01% so với bước sóng thực của nó. Tốc độ của ngôi sao đó là |
MC |
||
|---|---|---|---|
|
Default mark: |
1 |
||
|
Shuffle the choices? |
Yes |
||
|
Number the choices? |
|||
|
Penalty for each incorrect try: |
33.3 |
||
|
# |
Answers |
Feedback |
Grade |
|
|
60km/s |
|
0 |
|
|
15km/s |
|
0 |
|
|
150km/s |
|
0 |
|
|
30km/s |
|
100 |
|
|
General feedback: |
|
|
|
|
For any correct response: |
|
|
|
|
For any incorrect response: |
|
|
|
|
Hint 1: |
|
|
|
|
Show the number of correct responses (Hint 1): |
No |
|
|
|
Clear incorrect responses (Hint 1): |
No |
|
|
|
Tags: |
|
|
|
Allows the selection of a single or multiple responses from a pre-defined list. (MC/MA) |
|
||
|
|
MC |
||
|---|---|---|---|
|
Default mark: |
1 |
||
|
Shuffle the choices? |
Yes |
||
|
Number the choices? |
|||
|
Penalty for each incorrect try: |
33.3 |
||
|
# |
Answers |
Feedback |
Grade |
|
|
1 jun |
|
0 |
|
|
1 henry |
|
0 |
|
|
1 niutơn |
|
100 |
|
|
1 óat |
|
0 |
|
|
General feedback: |
|
|
|
|
For any correct response: |
|
|
|
|
For any incorrect response: |
|
|
|
|
Hint 1: |
|
|
|
|
Show the number of correct responses (Hint 1): |
No |
|
|
|
Clear incorrect responses (Hint 1): |
No |
|
|
|
Tags: |
|
|
|
Allows the selection of a single or multiple responses from a pre-defined list. (MC/MA) |
|
||
|
Trong thí nghiệm Iâng về giao thoa ánh sáng, người ta dùng ánh sáng có bước sóng λ và một bản mỏng trong suốt, hai mặt song song, có chiết suất n đặt trước một trong hai khe. ðể cường ñộ sáng tại tâm của màn ảnh bằng 0, ñộ dày cực tiểu e của bản mỏng là |
MC |
||
|---|---|---|---|
|
Default mark: |
1 |
||
|
Shuffle the choices? |
Yes |
||
|
Number the choices? |
|||
|
Penalty for each incorrect try: |
33.3 |
||
|
# |
Answers |
Feedback |
Grade |
|
|
|
|
0 |
|
|
|
|
100 |
|
|
|
|
0 |
|
|
|
|
0 |
|
|
General feedback: |
|
|
|
|
For any correct response: |
|
|
|
|
For any incorrect response: |
|
|
|
|
Hint 1: |
|
|
|
|
Show the number of correct responses (Hint 1): |
No |
|
|
|
Clear incorrect responses (Hint 1): |
No |
|
|
|
Tags: |
|
|
|
Allows the selection of a single or multiple responses from a pre-defined list. (MC/MA) |
|
||
|
Một sóng chạy dọc theo trục x được mô tả bởi phương trình u = 5sin10π (t − ,0 01x). Tất cả các ñại lượng trong phương trình trên ñều có ñơn vị trong 4 hệ SI. Hiệu pha (tính bằng radian) tại thời ñiểm t giữa hai ñiểm cách nhau 5m dọc theo trục x là |
MC |
||
|---|---|---|---|
|
Default mark: |
1 |
||
|
Shuffle the choices? |
Yes |
||
|
Number the choices? |
|||
|
Penalty for each incorrect try: |
33.3 |
||
|
# |
Answers |
Feedback |
Grade |
|
|
π |
|
0 |
|
|
π /2 |
|
100 |
|
|
2π/3 |
|
0 |
|
|
π/3 |
|
0 |
|
|
General feedback: |
|
|
|
|
For any correct response: |
|
|
|
|
For any incorrect response: |
|
|
|
|
Hint 1: |
|
|
|
|
Show the number of correct responses (Hint 1): |
No |
|
|
|
Clear incorrect responses (Hint 1): |
No |
|
|
|
Tags: |
|
|
|
Allows the selection of a single or multiple responses from a pre-defined list. (MC/MA) |
|
||
|
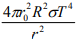
Giả sử Mặt Trời là một vật thể hình cầu bán kính R ở nhiệt ñộ T(K), năng suất phát xạ toàn phần tới Trái ðất ở cách Mặt Trời một khoảng r là |
MC |
||
|---|---|---|---|
|
Default mark: |
1 |
||
|
Shuffle the choices? |
Yes |
||
|
Number the choices? |
|||
|
Penalty for each incorrect try: |
33.3 |
||
|
# |
Answers |
Feedback |
Grade |
|
|
|
|
0 |
|
|
|
|
100 |
|
|
|
|
0 |
|
|
|
|
0 |
|
|
General feedback: |
|
|
|
|
For any correct response: |
|
|
|
|
For any incorrect response: |
|
|
|
|
Hint 1: |
|
|
|
|
Show the number of correct responses (Hint 1): |
No |
|
|
|
Clear incorrect responses (Hint 1): |
No |
|
|
|
Tags: |
|
|
|
Allows the selection of a single or multiple responses from a pre-defined list. (MC/MA) |
|
||
|
Điện thế tạo bởi một lưỡng cực điện nhỏ tại điểm cách tâm lưỡng cực một khoảng r khá lớn và trên trục của lưỡng cực tỷ lệ với |
MC |
||
|---|---|---|---|
|
Default mark: |
1 |
||
|
Shuffle the choices? |
Yes |
||
|
Number the choices? |
|||
|
Penalty for each incorrect try: |
33.3 |
||
|
# |
Answers |
Feedback |
Grade |
|
|
r |
|
0 |
|
|
1/r |
|
100 |
|
|
1/r2 |
|
0 |
|
|
1/r3 |
|
0 |
|
|
General feedback: |
|
|
|
|
For any correct response: |
|
|
|
|
For any incorrect response: |
|
|
|
|
Hint 1: |
|
|
|
|
Show the number of correct responses (Hint 1): |
No |
|
|
|
Clear incorrect responses (Hint 1): |
No |
|
|
|
Tags: |
|
|
|
Allows the selection of a single or multiple responses from a pre-defined list. (MC/MA) |
|
||
|
Biết cơ năng toàn phần của hạt là 2(J). Khi ñó vận tốc cực ñại của hạt (tính ra m/s) bằng |
MC |
||
|---|---|---|---|
|
Default mark: |
1 |
||
|
Shuffle the choices? |
Yes |
||
|
Number the choices? |
|||
|
Penalty for each incorrect try: |
33.3 |
||
|
# |
Answers |
Feedback |
Grade |
|
|
2 |
|
0 |
|
|
|
|
100 |
|
|
|
|
0 |
|
|
|
|
0 |
|
|
General feedback: |
|
|
|
|
For any correct response: |
|
|
|
|
For any incorrect response: |
|
|
|
|
Hint 1: |
|
|
|
|
Show the number of correct responses (Hint 1): |
No |
|
|
|
Clear incorrect responses (Hint 1): |
No |
|
|
|
Tags: |
|
|
|
Allows the selection of a single or multiple responses from a pre-defined list. (MC/MA) |
|
||
|
Nếu λ0 là bước sóng de Broglie của proton ñược gia tốc bởi hiệu điện thế 100V, thì bước sóng de Broglie của hạt α được gia tốc cũng bởi hiệu điện thế đó là |
MC |
||
|---|---|---|---|
|
Default mark: |
1 |
||
|
Shuffle the choices? |
Yes |
||
|
Number the choices? |
|||
|
Penalty for each incorrect try: |
33.3 |
||
|
# |
Answers |
Feedback |
Grade |
|
|
|
|
0 |
|
|
|
|
100 |
|
|
|
|
0 |
|
|
|
|
0 |
|
|
General feedback: |
|
|
|
|
For any correct response: |
|
|
|
|
For any incorrect response: |
|
|
|
|
Hint 1: |
|
|
|
|
Show the number of correct responses (Hint 1): |
No |
|
|
|
Clear incorrect responses (Hint 1): |
No |
|
|
|
Tags: |
|
|
|
Allows the selection of a single or multiple responses from a pre-defined list. (MC/MA) |
|
||
|
Đối với ánh sáng xanh, một vật liệu trong suốt có hằng số ñiện môi là 2,1 và độ từ thẩm là 1,0. Nếu tốc độ ánh sáng trong chân không là c thì vận tốc pha của ánh sáng xanh trong môi trường vô hạn chứa vật liệu nói trên là |
MC |
||
|---|---|---|---|
|
Default mark: |
1 |
||
|
Shuffle the choices? |
Yes |
||
|
Number the choices? |
|||
|
Penalty for each incorrect try: |
33.3 |
||
|
# |
Answers |
Feedback |
Grade |
|
|
|
|
0 |
|
|
|
|
0 |
|
|
|
|
0 |
|
|
|
|
100 |
|
|
General feedback: |
|
|
|
|
For any correct response: |
|
|
|
|
For any incorrect response: |
|
|
|
|
Hint 1: |
|
|
|
|
Show the number of correct responses (Hint 1): |
No |
|
|
|
Clear incorrect responses (Hint 1): |
No |
|
|
|
Tags: |
|
|
|
Allows the selection of a single or multiple responses from a pre-defined list. (MC/MA) |
|
||
|
Một miếng chất dẻo khối lượng m bị căng giữa hai điểm cố định bởi lực căng t. Khoảng cách giữa hai điểm là d. Tốc ñộ v của sóng đàn hồi truyền trong miếng chất dẻo được cho bởi biểu thức |
MC |
||
|---|---|---|---|
|
Default mark: |
1 |
||
|
Shuffle the choices? |
Yes |
||
|
Number the choices? |
|||
|
Penalty for each incorrect try: |
33.3 |
||
|
# |
Answers |
Feedback |
Grade |
|
|
|
|
0 |
|
|
|
|
0 |
|
|
|
|
100 |
|
|
|
|
0 |
|
|
General feedback: |
|
|
|
|
For any correct response: |
|
|
|
|
For any incorrect response: |
|
|
|
|
Hint 1: |
|
|
|
|
Show the number of correct responses (Hint 1): |
No |
|
|
|
Clear incorrect responses (Hint 1): |
No |
|
|
|
Tags: |
|
|
|
Allows the selection of a single or multiple responses from a pre-defined list. (MC/MA) |
|
||
|
Photon bước sóng λ tán xạ ñàn tính bởi proton tự do đứng yên. Bước sóng của photon tán xạ dưới góc 900 tăng một lượng |
MC |
||
|---|---|---|---|
|
Default mark: |
1 |
||
|
Shuffle the choices? |
Yes |
||
|
Number the choices? |
|||
|
Penalty for each incorrect try: |
33.3 |
||
|
# |
Answers |
Feedback |
Grade |
|
|
λ/137 |
|
0 |
|
|
λ/1836 |
|
0 |
|
|
h/(mec) |
|
0 |
|
|
h/(mpc) |
|
100 |
|
|
General feedback: |
|
|
|
|
For any correct response: |
|
|
|
|
For any incorrect response: |
|
|
|
|
Hint 1: |
|
|
|
|
Show the number of correct responses (Hint 1): |
No |
|
|
|
Clear incorrect responses (Hint 1): |
No |
|
|
|
Tags: |
|
|
|
Allows the selection of a single or multiple responses from a pre-defined list. (MC/MA) |
|
||
|
Hạt meson K+ tích điện dương có khối lượng nghỉ là 494 MeV/c2 , còn proton có khối lượng nghỉ 938 MeV/c2 . Nếu hạt K+ có năng lượng toàn phần bằng năng lượng nghỉ của proton thì tốc ñộ của nó xấp xỉ bằng |
MC |
||
|---|---|---|---|
|
Default mark: |
1 |
||
|
Shuffle the choices? |
Yes |
||
|
Number the choices? |
|||
|
Penalty for each incorrect try: |
33.3 |
||
|
# |
Answers |
Feedback |
Grade |
|
|
0,25 c |
|
0 |
|
|
0,4 c |
|
0 |
|
|
0,55 c |
|
0 |
|
|
0,85 c |
|
100 |
|
|
General feedback: |
|
|
|
|
For any correct response: |
|
|
|
|
For any incorrect response: |
|
|
|
|
Hint 1: |
|
|
|
|
Show the number of correct responses (Hint 1): |
No |
|
|
|
Clear incorrect responses (Hint 1): |
No |
|
|
|
Tags: |
|
|
|
Allows the selection of a single or multiple responses from a pre-defined list. (MC/MA) |
|
||
|
. Một chùm ánh sáng không phân cực đi đến lần lượt hai kính phân cực lý tưởng được bố trí sao cho ánh sáng không đi qua được kính phân cực thứ hai. Người ta đưa kính phân cực thứ ba vào khoảng giữa hai kính ban đầu và quay định hướng của nó một cách liên tục từ 00 đến 1800 . Cường ñộ tương đối cực đại của ánh sáng truyền qua cả ba kính phân cực (tỉ số giữa cường ñộ ánh sáng truyền qua và cường ñộ ánh sáng tới) là |
MC |
||
|---|---|---|---|
|
Default mark: |
1 |
||
|
Shuffle the choices? |
Yes |
||
|
Number the choices? |
|||
|
Penalty for each incorrect try: |
33.3 |
||
|
# |
Answers |
Feedback |
Grade |
|
|
0 |
|
0 |
|
|
1/8 |
|
100 |
|
|
1/2 |
|
0 |
|
|
1/«math xmlns=¨http://www.w3.org/1998/Math/MathML¨»«msqrt»«mn»2«/mn»«/msqrt»«/math» |
|
0 |
|
|
General feedback: |
|
|
|
|
For any correct response: |
|
|
|
|
For any incorrect response: |
|
|
|
|
Hint 1: |
|
|
|
|
Show the number of correct responses (Hint 1): |
No |
|
|
|
Clear incorrect responses (Hint 1): |
No |
|
|
|
Tags: |
|
|
|
Allows the selection of a single or multiple responses from a pre-defined list. (MC/MA) |
|
||